Login
Section Higher Education Method

Cognitive motivation and its relationship to cognitive abilities according to Bloom's Taxonomy of Educational Philosophy in the subject of Sports Psychology among students of the College of Physical Education and Sports Sciences / Al-Qadisiyah University

Motivasi kognitif dan hubungannya dengan kemampuan kognitif berdasarkan Taksonomi Filsafat Pendidikan Bloom dalam mata kuliah Psikologi Olahraga di kalangan mahasiswa Fakultas Pendidikan Jasmani dan Ilmu Olahraga / Universitas Al-Qadisiyah
Vol. 21 No. 2 (2026): May:

Hussein Rashid Ghyaidh (1)

(1) Ministry of Education, General Directorate of Education, Al-Qadisiyah Governorate, Iraq, Indonesia

Abstract:

General Background: Cognitive motivation plays a central role in shaping students’ engagement and learning outcomes within educational environments. Specific Background: In educational psychology, measuring cognitive motivation is essential for understanding how students think, learn, and respond to instructional strategies. Knowledge Gap: Despite extensive theoretical discussions, there is still a need for structured measurement approaches that capture cognitive motivation accurately within specific student populations. Aims: This study aims to measure cognitive motivation among students and examine its characteristics using established psychological assessment methods. Results: The findings indicate that cognitive motivation can be systematically assessed through validated instruments, revealing variations in students’ levels and patterns of engagement in learning activities. The analysis highlights meaningful differences in responses, reflecting diverse cognitive tendencies among participants. Novelty: The study applies structured measurement tools within a defined educational context, providing empirical insight into cognitive motivation assessment. Implications: The results contribute to educational practice by offering a basis for improving instructional strategies and supporting student learning through a better understanding of motivational factors.


Keywords: Cognitive Motivation, Educational Psychology, Student Assessment, Learning Behavior, Psychological Measurement


Key Findings Highlights



  1. Measurement framework identifies variation in student engagement patterns

  2. Assessment results show distinct motivational tendencies across participants

  3. Findings support structured evaluation in academic settings

Introduction:

Motivation is a fundamental condition upon which the achievement of the learning process in any of its various fields depends. It drives initiative in behavior and its continuation, influencing and being influenced by perception. Regardless of its trajectory, it will affect decisions regarding which behaviors to employ, which goals to pursue, and which events to perceive and observe. Motivation is linked to the academic achievement process, as there are motives that facilitate learning and are closely related to it, such as cognitive motivation, which is represented by the student's desire for knowledge, curiosity, inclination towards exploration, and desire to understand the environment. It also involves focusing attention on something exciting and enjoyable, reducing cognitive imbalance and uncertainty, and solving puzzles. Learners with high cognitive motivation are more open to experiences and demonstrate a kind of cognitive energy that enables them to follow external stimuli in their surrounding environments. They believe in learning and knowledge, and it is the new, the strange, and the unfamiliar that excites them. They are positively influenced by the quality of stimuli they experience at school. Learners who seek information by any means” .[1]

Cognitive abilities are sensory perception processes and mental processes that include thinking and abstraction. Since the foundation of the cognitive field is the gradual development of abilities, starting with the easy and ending with the difficult, a classification of cognitive abilities employed in achieving the goals of the cognitive field was developed. This classification consists of six main levels called Bloom's Taxonomy: knowledge, comprehension, application, analysis, synthesis, and evaluation. These levels are progressively more difficult and simultaneously include sub-levels that are also progressively more difficult .[2]

Physical education is one of the most important fields that plays an effective role in educational development in its various dimensions. The curricula and materials of physical education, including sports psychology, hold a scientific position and importance no less than other academic subjects. Through it, many educational and instructional goals—cognitive, affective, and skill-based—can be achieved, contributing significantly to the development of students. Preparing them in a way that enables them to perform their educational role in the future with high efficiency.

Thus, the importance of the current research lies in its attempt to obtain information about some characteristics of the members of this community, represented by students' educational performance and cognitive abilities. This can benefit, firstly, the students themselves, in terms of what can be learned about their motivations and cognitive abilities. Secondly, it benefits specialists in the field of education by providing the appropriate attention, namely creating a suitable environment that encourages students to embrace learning and motivates them to seek knowledge. Furthermore, the current research can provide teachers and specialists in the field of education with an objective, valid, and reliable tool that can be used to measure students' cognitive abilities, namely, a cognitive abilities test based on Bloom's Taxonomy. This test can give teachers a clear vision of the levels of questions that should be emphasized, thus motivating them to focus on neglected or under-relied levels. It can also help teachers identify the levels of questions in prescribed textbooks so they can select those that achieve their objectives.

Research Problem:

In order to identify the learner's abilities and make their learning process effective, His interaction within the school and classroom is beneficial to him and his community. Attention must be paid to the learner's individual variables, such as personality traits, motivation, ambition, and learning style. Purposeful learning, which aims to achieve a change in performance or a change in the learner's cognitive structure, cannot occur unless the learner possesses strong motivations that facilitate the learning process and are closely related to it, such as cognitive motivation. To identify the learner's abilities, tests that measure the cognitive aspect of personality are often called aptitude or cognitive abilities tests, which measure thinking processes during the learning process among learners. Based on the above, the following questions arise:

  1. Is there a direct relationship between cognitive motivation and performance on cognitive ability tests, such that an improvement in cognitive motivation is correspondingly linked to an improvement in performance on cognitive ability tests?
  2. At which level of cognitive ability is this relationship most evident?
  3. Does gender play a role in determining the level of cognitive motivation in males and females, as well as their level of cognitive ability? Students with high cognitive motivation are more likely to tend towards thinking at higher levels of cognitive ability or to achieve higher levels of cognitive ability. High scores in achievement tests in various subjects in general and sports psychology in particular. This is what the current research will try to find out by investigating the relationship between cognitive motivation and cognitive abilities according to Bloom’s cognitive levels in sports psychology among students of the College of Physical Education and Sports Sciences / Al-Qadisiyah University.

Research Objectives:

  1. The level of cognitive motivation among students at the College of Physical Education and Sports Sciences, Al-Qadisiyah University.
  2. Cognitive ability level of students in the Faculty of Sports Science, University of Qadiscia.
  3. The relationship between cognitive motivation and the knowledge of physical education and sports science students, Al-Qadisiyah University.
  4. Which of the six cognitive ability levels is most strongly associated with cognitive motivation?
  5. Statistically significant differences based on gender in the research variables (cognitive motivation and cognitive abilities).

Research Hypothesis:

  1. There are no statistically significant differences based on gender in the research variables.

Research Scope:

  • Human Scope: 4th year students in the College of Physical Education and Sports Sciences, Al-Qadisiyah University, for the academic year 2022-2023.
  • Spatial scope: Classrooms in the Department of Physical Education and Sports Sciences, Al-Qadisiyah University.
  • Temporal scope: From 3/11/2022 to 13/3/2023.

Methodology

Research Population:

The population's research included all students enrolled in the College of Physical Education and Sports Sciences at Al-Qadisiyah University during the 2022-2023 academic year, totaling 850 students (male and female) that represented all four academic years.

Research Sample:

The sample must be representative of the original population, and this sample must have a key requirement: the generalizability of its results to the remainder of the population from which it was taken.[3] The research sample was chosen at a rate of 24% of the total population of 850 students (male and female). As a result, the sample size was 200 students (male and female), which is representative of the fourth year of students at the College of Physical Education and Sports Sciences, Al-Qadisiyah University. This included 140 male students (70%) and 60 female students (30%) who were enrolled in the school.

Field Research Procedures:

Research tools vary depending on the objectives and nature of the data to be obtained. Since the current research aims to uncover the relationship between cognitive motivation and cognitive abilities according to Bloom's Taxonomy of Educational Philosophy in the subject of sports psychology among students of the College of Physical Education and Sports Sciences at Al-Qadisiyah University, this requires the use of two instruments to measure the variables of cognitive motivation and cognitive abilities. Therefore, the following are the procedures that were carried out to prepare the two instruments:

1. Cognitive Motivation: After reviewing the scales developed in this field, the researcher adopted Mahmoud's (2004) scale for measuring cognitive motivation. This scale included (50) items, each with five alternatives. The researcher adapted it for the research sample after consulting with experts in educational and sports psychology. This involved making some modifications to the items to make them suitable for the sports field, as the original items were general." The modified scale items were presented to experts in educational and sports psychology, as well as in testing and measurement. After the researcher retrieved the questionnaires from the experts, he collected and processed the data. The chi-square test was used to identify the Valid items: The results showed that all items were valid, as shown in Table (1). "

Items (Paragraphs) Number of Respondents in Agreement Agreement Percentage Calculated Chi-Square Value Tabulated Chi-Square Value Statistical Significance
1-2-4-5-6-7-8-9-10-11-12-13-14-15-16-17-18-19-20-22-24-25-26-28-30-31-32-33-35-36-38-39-40-41-42-43-45-46-47-48-49-50 11 100% 11 3.84 Statistically significant (p ≤ 0.05)
3-21-23-27-29-34-37-44 10 90.9% 7.36 3.84 Statistically significant (p ≤ 0.05)
Table 1. Table 1. shows the validity of the items on the cognitive motivation scale

" The critical chi-square (χ²) value is 3.84 at a degree of freedom of (n-1) = 2-1 = 1 and a significance level of 0.05. "

2. Preparing Instructions for the Cognitive Motivation Scale: The instructions for the scale should be clearly defined before administering it to the research sample. These instructions and the conditions for conducting the test must be clear, simple, and objective to ensure adherence without any discrepancies that could affect the test results.

3. Keys to Scoring the Cognitive Motivation Scale: Calculating the score obtained by each participant on the scale is a crucial step. The score depends on the way the items are constructed and the number of response options. After the experts approved the response options, they were as follows: (Very highly applies to me, highly applies to me, moderately applies to me, slightly applies to me, does not apply to me). The scores were weighted on a scale of (1-5), with five points awarded for each response indicating cognitive motivation when the first option was chosen as the maximum, and one point for the "does not apply to me" option as the minimum. All responses were scored according to this procedure because all items on the scale were formulated positively.

4. Pilot Test of the Cognitive Motivation Scale: The researcher conducted a pilot test on a sample of (30) students, randomly selected on December 9, 2022. The results showed that all items on the scale and the answer choices were clear and understandable to the research sample. The pilot test also revealed that the time taken to complete the scale items ranged from (15-25) minutes, with an average of (20) minutes, and that all items were clear and understandable to the research sample.

5. Main Purpose of the Cognitive Motivation Scale: After the Cognitive Motivation Scale was created with its instructions and items, it was ready to be applied (see appendix 1). The researcher then applied the scale to the research population of (200) men and women from the College of Physical Education and Sports Sciences - Al-Qadisiyah University. The sample research (24%) comprised much of the research population during the time period from 19/12/2022 to 10/3/2023. After studying the construct's sample forms, it was apparent that all the forms could answer. As a result, the researcher kept all (200) forms, which were employed in the statistical analysis of the items of the Cognitive Motivation Scale, consisting of (50) items, to determine its capacity to differentiate, validity, and reliability. To make sure the scale is appropriate for the research sample and to identify any necessary alterations, the researcher took away its psychometric properties as follows:

6. The importance of statistical analysis is greater than the importance of logical analysis, this is because the latter relies on the capacity of the item to differentiate between respondents and non respondents, its validity coefficient, and its difficulty.[4] The statistical sample included (200) men and women students. The researcher followed the following procedures after the procedure of remaking the forms and clearing their data.

A-The Two-Outliers Method ( External consistency): To calculate the degree to which items on the Cognitive Motivation Scale are discriminatory, the scores were organized by decreasing total score for the entire sample of (200) men and women students. The two extreme groups were then recognized, with (27%) of the highest scores and (27%) of the lowest scores. The number of individuals in each group was (54) men and women students. The t-test for two independent samples was used to determine the degree to which the means of the two groups differed. The t-value was considered an indicator of the legitimacy of the item by comparing it to the listed value of (1.98) at a freedom of (108) and a significance level of (0.5). The results of the analysis indicated that all items were prejudicial, as demonstrated in Table (2).

S T value S T value S T value S T value S T value
1 3.52 11 4.77 21 5.54 31 3.18 41 4.36
2 3.61 12 3.77 22 5.54 32 8.80 42 4.08
3 4.09 13 2.64 23 3.05 33 3,83 43 5.88
4 3.40 14 4.13 24 4.68 34 2.49 44 6.26
5 2.53 15 3.40 25 2.87 35 3.13 45 3.08
6 3.69 16 4.02 26 3.12 36 3.13 46 7.18
7 5.18 17 3.45 27 4.45 37 2.08 47 3.92
8 3.86 18 3.42 28 6.67 38 2.73 48 5.14
9 4.95 19 7.36 29 3.69 39 6.94 49 2.87
10 6.13 20 4.08 30 3.41 40 3.41 50 3.98
Table 2. Table 2. shows the t-test values ​​for the discrimination coefficient using the two-outliers method for the Cognitive Motivation Scale.

" The tabulated t-value at a significance level of (0.05) and degrees of freedom (n1 + n2) - 2 = (54 + 54) - 2 = 108 - 2 = 104 = 1.98 "

B - Internal consistency (relationship between item scores and total scores): "This method relies primarily on ensuring that each item in the scale follows the same trend as the scale itself. A high correlation between each item and the total score indicates that the item belongs to the scale, thus indicating that the scale is homogeneous".[5] Therefore, the researchers used the Pearson correlation coefficient to calculate the correlation between item scores and individual total scores. The number of questionnaires analyzed was 200, the same as the questionnaires used in the two-group analysis method. All items valued of the scale were statistically significant. The number of items was 50, the significance level was 0.5, and the degrees of freedom were 1.98. Table 3 shows this.

S Degree of correlation S Degree of correlation S Degree of correlation S Degree of correlation S Degree of correlation
1 0.39 11 0.48 21 0.47 31 0.37 41 0.39
2 0.43 12 0.40 22 0.51 32 0.75 42 0.47
3 0.42 13 0.35 23 0.38 33 0.34 43 0.59
4 0.44 14 0.42 24 0.44 34 0.60 44 0.47
5 0.37 15 0.72 25 0.44 35 0.35 45 0.39
6 0.41 16 0.35 26 0.39 36 0.35 46 0.62
7 0.71 17 0.39 27 0.38 37 0.37 47 0.38
8 0.48 18 0.72 28 0.61 38 0.64 48 0.42
9 0.44 19 0.46 29 0.39 39 0.64 49 0.36
10 0.62 20 0.51 30 0.37 40 0.37 50 0.38
Table 3. Table 3. shows the relationship between the item score and the total score on the cognitive motivation scale

" The tabulated value of (r) at a significance level of (0.05) and degrees of freedom (n-2) = 200–2 = 198 = 0.13 "

Calculating the total score for the Cognitive Motivation Scale:

The final version of the scale contains 50 items. Each item is rated on a five-point scale: (Strongly Agree), (Somewhat Agree), (Somewhat Agree), (Slightly Agree), and (Disagree). All items are positively worded, with scores ranging from 1 to 5. Therefore, the highest score from respondents was 250, and the lowest score was 50. The scale assumes a mean score of 150.

Standard (Psychometric) Properties of the Scale:

1. Validity: The current scale possesses the following validity indicators:

a- Content Validity: This type of validity was achieved when the researcher defined cognitive motivation and wrote a number of items that aligned with the definition, the research objective, and the sample. The scale was then presented to a group of experts and specialists in educational and sports psychology and testing. After statistically analyzing their opinions using chi-squared (χ²), all items achieved an acceptable level of agreement.

b- Construct Validity: This type of validity was achieved by maintaining the scale's distinctive items through item analysis procedures (discriminatory power) using the two-groups method and the correlation of items with the total scale score, as previously mentioned in Tables (2, 3). This validity demonstrated that all scale items could discriminate between students of the Faculty of Physical Education and Sports Sciences on the cognitive motivation scale.

2. Reliability: Reliability is a fundamental component of any test and one of the most important characteristics of a good test. To determine the reliability of the cognitive motivation scale, the researcher used the split-half method, which reflects the internal homogeneity of the scale items (Abu Hatab & Othman, 1973, p. 79). The correlation coefficient between the two halves of the scale was calculated using Pearson's correlation coefficient and was found to be (0.56). After correcting the score using the Spearman-Brown formula, it became (0.71).

Cognitive Abilities:

The researcher prepared a test to measure these abilities according to Bloom's Taxonomy of Knowledge, which included an achievement test in the subject of Sports Psychology for fourth-year students at the College of Physical Education and Sports Sciences / Al-Qadisiyah University, following these steps:

Formulating Behavioral Objectives:

The researcher adopted Bloom's Taxonomy in the cognitive domain as the basis for formulating behavioral objectives due to its comprehensiveness in addressing behavioral objectives within the cognitive domain and the numerous definitions and examples provided for each of its levels.[6] The researcher formulated behavioral objectives for all topics included in the seven chapters of the Sports Psychology course,[7] as defined by the research. The initial formulation of behavioral objectives reached (120) objectives, distributed across the six levels of Bloom's Taxonomy of Knowledge, which the researcher adopted in formulating the behavioral objectives and developing the research instrument. This was done to verify that the behavioral objectives covered the course content, that their classification into the six levels of Bloom's Taxonomy of Knowledge was accurate, and that the methodology was sound. Its derivation, formulation, and coverage of the general objectives were presented to a group of experts in sports and educational psychology, testing, and measurement. After analyzing the responses of (8) experts, (30) behavioral objectives were removed because they did not achieve an 80% agreement rate among the experts. That is, the behavioral objectives agreed upon by (7) or more of the eight experts were deemed acceptable. The calculated chi-square value for this number of experts was (4.5), which is greater than the tabulated chi-square value of (3.84) at a significance level of (0.05) and (1) degrees of freedom. Table (4) illustrates this.

Figure 1. Table 4. Calculated Chi-Square Values ​​for Experts' Opinions and Their Statistical Significance

" The critical chi-square (χ²) value is 3.84 at a degree of freedom of (n-1) = 2-1 = 1 and a significance level of (0.05). "

Thus, the number of behavioral objectives became (90) objectives, distributed as follows: (15) objectives for the knowledge level, (15) objectives for the comprehension level, (15) objectives for the application level, (15) objectives for the analysis level, (15) objectives for the synthesis level, and (15) objectives for the evaluation level. Experts preferred that the behavioral objectives, and consequently the test items based upon them, be approximately equal in number across the six levels of Bloom's Taxonomy, as the purpose of this test is not to assess achievement but rather cognitive abilities, as illustrated in Table (5).

S Topics Number of behavioral objectives Total
Knowledge comprehension The app Analysis Composition Calendar
1 What is Sports Psychology? 2 1 2 3 2 2 12
2 Foundations of Learning 2 2 3 2 1 1 11
3 Sports Education and Personality 2 2 2 1 3 1 11
4 Motivations for Athletic Activity and Their Development 2 4 2 2 2 3 15
5 The Psychological Approach 2 1 1 1 1 2 8
6 Psychological Emotions 2 3 3 3 3 3 17
7 Psychological Problems in Races 3 2 2 3 3 3 16
Total 15 15 15 15 15 15 90
Table 4. Table 5. shows the number of behavioral objectives in their final form for sports psychology topics, distributed according to the six levels of the cognitive domain of Bloom's Taxonomy after being reviewed by experts.

Preparing the Cognitive Abilities Test Items:

The researcher used Table (5) as the basis for preparing the cognitive abilities test items for students of the College of Physical Education and Sports Sciences in the subject of Sports Psychology. The researcher used objective tests as the basis for formulating the cognitive abilities test items (knowledge, comprehension, application, and analysis). The second part of the synthesis ability test and the evaluation ability test consisted of essay-type (multiple-choice) questions.

Test Instructions:

When constructing any test, it is necessary to prepare instructions that clarify its purpose, the method of answering it, and the allotted time for answering it. The researcher developed a preliminary version of the test instructions that included how to answer its items and indicated that all items must be answered without leaving any unanswered, in addition to a field for gender.

Test Scoring Method:

The scoring method involved awarding one mark for each correctly answered item and zero marks for each incorrectly answered item. Incomplete or multiple-choice items were treated as incorrect answers. For the 30 multiple-choice essay questions, the scoring method was as follows: one mark for a complete correct answer, half a mark for an incomplete correct answer, and zero marks for an incorrect answer. Thus, the student's total score on the test was equal to the sum of the scores obtained in the six subtests.

Pilot Test:

The test was administered to a pilot sample of 30 students, the same sample used for the Cognitive Motivation Scale, to assess the clarity of the test instructions and items, and to determine the time required to complete the test. The pilot results showed that the test instructions and items were clear, and the average time taken to complete the test was 85 minutes.

Statistical Analysis of Cognitive Abilities Items:

"Statistical analysis of items is a fundamental requirement in constructing educational and psychological tests and scales, because it reveals their accuracy and their ability to measure what they were designed to measure".[8]

Finding the Discriminatory Power of Items:

To calculate the discriminatory power of the items, the total scores obtained by the students on the test were arranged in descending order from highest to lowest total score. The two extreme groups in the total score, the upper and lower groups, were identified, each representing (27%). This percentage is preferred as it provides two groups with the maximum possible size and differentiation when the distribution of scores on the test is normal. The upper and lower groups in the test included (108) male and female students, with (54) in the upper group and (54) in the lower group. The discrimination index for the objective items of the test was calculated using the equation for discriminating against items that are answered only (true or false) and are awarded one- or zero-points during scoring. The Abel criterion was adopted to select the items according to their discriminatory power. Based on this criterion, the test items were classified according to their discriminatory power. Table (6) shows that the number of good and very good items in terms of discriminatory power constitutes (72.90%) overall for all aptitude tests. The six cognitive items had the highest percentage (19.23%) in the third test and the lowest (14.10%) in the second test. Borderline items comprised 10.28% of the total test, with the highest percentage (36.36%) in the second test and the lowest in the third. Items with weak discrimination comprised no more than 16.82% of the total test, with the highest percentage (22.22%) in the sixth test and the lowest (11.11%) in the first test. Table 6 illustrates this.

Paragraph estimate Excellence Factor Test items Total
F irst Second Third Fourth Fifth Number of paragraphs Percentage
Very good 0.40 or more 6 4 8 6 4 28 33 . 37 %
Good 0.30-0.39 5 4 2 4 3 18 24 %
Marginal 0.20-0.29 2 4 2 3 6 17 66 . 22 %
Poor 0.19 or less 2 3 3 2 2 12 16 %
Total 15 15 15 15 15 75 100 %
Table 5. Table 6. Distribution of Test Items Across Abel's Discrimination Index Levels

Difficulty of items for the cognitive abilities scale:

“The acceptable range for the difficulty or ease index is between (0.20-0.80), so items whose difficulty index is greater or less than this range should be excluded”.[9] According to the difficulty index of each item of the test, the scores of the sample of items were analyzed statistically, and Table (7) shows the difficulty ranges for each subtest and for the entire test.

The test How difficult The test How difficult
Test 1: Knowledge 0.38-0.93 Test 4: Analysis 0.26-0.66
Test 2: Comprehension 0.13-0.89 Test 5: Synthesis 0.28-0.70
Test 3: Application 0.24-0.70 General Test 0.13-0.93
Table 6. Table 7. Difficulty Ranges for Items of the Cognitive Abilities Scale

Table (7) shows that the difficulty indices for the first test ranged from (0.38-0.93), while the difficulty indices for the items in the second test ranged from (0.13-0.89). The difficulty indices for the items in the third test ranged from (0.24-0.70), and the difficulty indices for the items in the fourth test ranged from (0.26-0.66). The items in the fifth test had difficulty indices ranging from (0.28-0.70), and the overall test had item difficulty indices ranging from (0.13-0.93).

Difficulty of Item Validity (Internal Consistency Method):

"Item validity is an indicator of its ability to measure what it is designed to measure. Item validity coefficients are usually calculated, as indicated, by the correlation of item scores with an external or internal criterion. When an external criterion is unavailable, the best internal criterion is the total test score" (Anastasi, 1967, p. 206). Therefore, the researcher calculated the correlation coefficients between the binary score (1, 0) for each item and both the total score of the subtest and the total test score. Table (8) illustrates this.

Difficulty of Incorrect Alternative Effectiveness:

The incorrect alternative effectiveness coefficient was calculated for each incorrect alternative in the test items using the discrimination equation. An alternative was considered ineffective if its coefficient was zero or positive. An item was considered good and discriminatory when it met the following conditions: [9]

1- Discriminatory power not less than 0.30.

2. A difficulty index ranging from 0.20 to 0.80.

3. The item's correlation coefficient with the sub-component score is significant at the 0.05 level (minimum).

4. The item's correlation coefficient with the overall test score is significant at the 0.05 level (minimum).

5- Each item must not contain an incorrect or ineffective alternative. After applying these criteria and excluding items that did not meet the aforementioned conditions, (12) items were deleted: items (3) from the first test, (8, 9, 13, 15) from the second test, (2, 3, 9) from the fourth test, (8) from the fifth test, and (4, 12, 14) from the sixth test, and so on. This left (78) items out of (90) distributed as follows: First test (Knowledge) (14) items, Second test (Comprehension) (11) items, Third test (Application) (15) items, Fourth test (Analysis) (12) items, Fifth test (Synthesis) (14) items, and Sixth test (Evaluation) (12) items. Table (8) shows this.

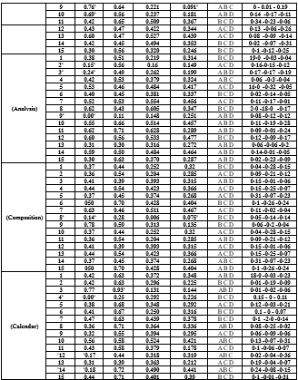
Figure 2. Table 8. Discrimination and difficulty indices for each item of the test and their correlation with the total score of the subtest and the entire test, and the effectiveness coefficient of their incorrect alternatives for the tests

Figure 3. Table 8. Discrimination and difficulty indices for each item of the test and their correlation with the total score of the subtest and the entire test, and the effectiveness coefficient of their incorrect alternatives for the tests

"The tabulated value of (r) at a significance level of (0.05) and degrees of freedom (n-2) = 200–2 = 198 = 0.13 "

Calculating the total score for the Cognitive Abilities Scale:

The scale, in its final form, consists of (78) items . The final version of the Cognitive Abilities Test was administered to the same research sample that received the Cognitive Motivation Scale, consisting of (200) students (140 male and 60 female), from December 19, 2022, to March 10, 2023. The test items were scored based on awarding one mark for a correct answer and zero for an incorrect answer for each of the objective items. Appendix 3 shows the correct answers. As for the (12) multiple-choice essay tests, the scoring method was as follows: (one mark for a complete correct answer, half a mark for an incomplete correct answer) (Zero for an incorrect answer) The scores obtained by each individual in the sample on each item of the test are totaled to calculate the total score for that individual test, as well as the total score for the entire test. The time required to complete the test ranged between 80 and 90 minutes, with a mean of 85 minutes.

Standard (Psychometric) Properties of the Scale:

1. Validity: The current scale possesses the following validity indicators:

a. Content Validity: This type of validity was achieved when the researcher adopted Bloom's Taxonomy in arranging the cognitive abilities test according to a hierarchical classification ranging from easy to difficult. This reflects the conformity of the current test's characteristics with the trait or concept to be measured. A number of items were written aligning with the classification and its six components, as well as with the research objective and sample. The test was presented to a group of experts and specialists in educational and sports psychology and testing. After analyzing their opinions statistically using chi-square (χ²), items that did not achieve the acceptable level of agreement were excluded, as shown in Table (4).

b- Construct Validity: This type of validity was achieved by retaining the distinctive items of the scale through item analysis procedures (discriminatory power) using the two-group method, the correlation of items with the total scale score, and the correlation of each item with the total score of the domain to which it belongs. Items lacking discriminatory power were excluded, as previously mentioned in Table (8).

2- Reliability: Reliability is a fundamental component of the test and one of the most important characteristics of a good test. To determine the reliability of the cognitive abilities scale, the researcher used the split-half method. The correlation coefficient between the two halves of the current test was calculated using Kutman's equation, resulting in an overall test reliability of (0.89). The correlation coefficient using Spearman-Brown's equation was also (0.89). The correlation coefficients between the two halves of the six subtests (knowledge, comprehension, application, analysis, synthesis, and evaluation) using Kitman's formula were (0.77, 0.71, 0.78, 0.75, 0.77, and 0.73), respectively. The overall test reliability is a good and clear indicator of the internal consistency between the test items, as the reliability coefficient calculated using the split-half method shows the degree of consistency between items in measuring the trait or characteristic being measured.

Results and Discussion:

This section presents the results of the current research and interprets them in light of the stated objectives.

1-This study aimed to investigate the cognitive motivation of students at the Faculty of Sports Science, University of Qadisiyah. To this end, we calculated the students' mean score on a cognitive motivation scale, which was 302.1024 points with a standard deviation of 31.90763 points. We used a one-sample t-test to examine whether the difference between the sample mean and the hypothesized mean (150 points) was statistically significant. The results showed that the actual sample mean was significantly higher than the hypothesized mean. The calculated t-value (46.311) was higher than the critical value (1.97) at a significance level of 0.05 and 199 degrees of freedom. This indicates that the difference between the actual mean and the hypothesized mean was statistically significant (see Table 9).

scale Sample hypothetical mean Mean SD Calculated value of (t) tabulated value (t) Level of significance Meaning of the indication
Cognitive motivation 200 150 302.1024 31.90763 46.311 1.97 0.05 Sig.
Table 7. Table 9. shows the level of the research sample on the cognitive motivation scale among students of the College of Physical Education and Sports Sciences at Al-Qadisiyah University

The tabulated t-value at 1-200 degrees of freedom was 199, and at a significance level of 0.05, it was 1.97.

This indicates that the current research sample of students from the College of Physical Education and Sports Sciences possesses a high level of cognitive motivation. This suggests that these students have positive attitudes and a tendency to acquire knowledge in order to develop more sophisticated cognitive structures through the subjects they study, particularly in sports psychology. This high level of cognitive motivation reflects their strong desire to research, investigate, ask questions, and formulate hypotheses across various academic topics. The students' attainment of this high level of cognitive motivation may reflect their own active role in acquiring knowledge, as well as the role of home education and increased parental involvement in creating and providing a psychological and material environment that fosters their cognitive motivation.

2- Identifying the level of cognitive abilities among students of the College of Physical Education and Sports Sciences / Al-Qadisiyah University: In order to verify this objective, the results showed that the average score of the students in these abilities reached (35.019) with a standard deviation of (11.477). When calculating the significance of the difference between the average score of the sample on the cognitive abilities test and the hypothetical mean of the test, which is (39) points, using the t-test for a single sample, it appeared that the difference between the two means was statistically significant and in favor of the population mean, as the calculated t-value reached (7.76), which is higher than the critical value of (1.97) and statistically significant at the level of (0.05) and under degrees of freedom (199). This means that the achieved mean is less than the hypothetical mean of the test, and that the difference between the two means is a real difference and is not due to mere chance, which means that the level of cognitive abilities among the current research sample is low. When observing the sub-abilities, we find that the average scores of the students in the ability to know and the ability to comprehend are (8.006, 6.532). They were higher than their hypothetical averages (7, 5.500) by a statistically significant difference in favor of the achieved average, as the calculated t-values ​​for knowledge and comprehension reached (8.10, 9.88) respectively, which are higher than the tabulated t-value of (1.97) by statistical significance at the level of (0.05) and under a degree of freedom of (199). This indicates that the current research sample of students possesses a high level in these two abilities, while we find that the four cognitive abilities (application, analysis, synthesis, and evaluation) had average scores of (7.012, 5.700, 4.451, 3.318) respectively, which were smaller than their hypothetical averages (7.500, 6, 7, 6), and the differences were statistically significant at the level of (0.05), which indicates a decrease in the students’ level in these cognitive abilities, and Table (10) shows this.

Cognitive abilities Mean SD hypothetical mean T value Level of significance
Calculated Tabulated
Knowledge 8.006 2.779 7 8.10 1،97 0.05
Comprehension 6.532 2.336 5.500 9.88 0.05
Application 7.012 2.960 7.500 3.69 0.05
Analysis 5.700 2.271 6 2.95 0.05
Synthesis 4.451 2.308 7 24.70 0.05
Evaluation 3.318 2.210 6 27.13 0.05
Total Score 35.019 11.477 39 7.76 0.05
Table 8. Table (10). T-values ​​of the differences between the mean scores of cognitive abilities and their hypothetical means among students of the College of Physical Education and Sports Sciences

The research results, shown in Table (10), indicate that the cognitive abilities of students in the College of Physical Education and Sports Sciences were low. Regarding the sub-cognitive abilities, the ability to know was statistically significantly higher than the hypothetical meaning of the test, reflecting the students' ability to retrieve and recall information as they learned it from the sports psychology textbook. Similarly, the ability to comprehend was statistically significantly higher than the hypothetical meaning, indicating the students' ability to utilize the information they acquired by understanding its meaning and expressing it in their own words. However, the application, analysis, synthesis, and evaluation abilities had statistically significant mean scores lower than the hypothetical mean of their respective tests, reflecting a decline in the students' abilities at these levels.

The researcher attributes this result to the fact that our education and teaching methods are based on memorization, rote learning, and recitation of the studied material. In other words, teaching methods are often limited to memorization and recitation without attention to analysis, deduction, and self-learning methods. "The lack of emphasis on practical aspects creates a disconnect between theory and practice. Linking the theoretical and practical aspects generates cognitive, skill-based, emotional, and social development in students" (Abu Jalala, 1999, pp. 10-11). In addition to social and psychological factors, the suffering and crises resulting from difficult and challenging circumstances inevitably leave their mark on students' cognitive abilities. A student who lacks basic needs is not given the opportunity to strive to improve their cognitive abilities. A low level of higher-order cognitive abilities among students does not necessarily mean they are incapable of reaching higher levels. The potential exists, as demonstrated by the results of the current research, which indicate that students possess a high level of cognitive motivation, as shown in Table (9). However, they need To better material and psychological conditions that support them and provide them with all the necessary resources to enhance their abilities.[10]

3- To identify the relationship between cognitive motivation and cognitive abilities among students of the College of Physical Education and Sports Sciences / Al-Qadisiyah University. To verify this objective, Pearson's correlation coefficient was calculated between students' scores on the cognitive motivation scale and their scores on the cognitive abilities test, which amounted to (0.365). After applying the t-test to determine the significance of the correlation coefficient, the calculated t-value (8.749) was found to be greater than the critical value (1.97) at the level of (0.05) with (198) degrees of freedom. This indicates that there is a positive and statistically significant relationship between the scores of the two variables of cognitive motivation and cognitive abilities, as shown in Table (11).

variable Pearson correlation coefficient Calculated value of T tabulated value of T Level of significance
Cognitive motivation 0.365 8.749 1،97 0.05
Cognitive abilities
Table 9. Table (11). Pearson's variance relationship between creative inspiration and creative abilities

The critical value of (r) at a significance level of (0.05) and degrees of freedom (n-2) = 200-2 = 198 = 0.13

The critical value of (t) at degrees of freedom 200-2 = 198 and at a significance level of (0.05) = (1.97)

4- Identifying which of the six cognitive ability levels is most strongly associated with cognitive motivation:

The relationship between the scores of the six cognitive ability levels, as independent (predictor) levels, and the scores of cognitive motivation, as dependent, was found through multiple regression analysis to determine the extent to which each level of the independent (predictor) variable, which includes the six cognitive abilities (knowledge, comprehension, application, analysis, synthesis, and evaluation), contributes to explaining the variance of the cognitive motivation variable, as dependent (predictor). The results of the multiple regression analysis showed that the correlation coefficients between cognitive motivation and each of the cognitive abilities (knowledge, comprehension, application, analysis, synthesis, and evaluation) were significant. Statistical, as the values ​​of the correlation coefficient reached (0.236, 0.282, 0.211, 0.325, 0.357, 0.312) respectively. After applying the t-test to determine the significance of the correlation coefficient, it appeared that the calculated t-value for abilities was (5.425, 6.573, 4.817, 7.665, 8.520, 7.324) respectively, which is greater than the tabulated t-value of (1.97) at the level of (0.05) and degrees of freedom (198). Table (12) shows this.

Cognitive abilities Correlation coefficient values Calculated T-values tabulated T-value Level of significance
Knowledge 0.236 5.425 1.97 0.05
Comprehension 0.282 6.573
Application 0.211 4.817
Analysis 0.325 7.665
Synthesis 0.357 8.520
Evaluation 0.312 7.324
Table 10. Table (12). shows the correlation coefficients between cognitive motivation, cognitive abilities, T-values, and significance level

The critical value of (r) at a significance level of (0.05) and degrees of freedom (n-2) = 200-2 = 198 = 0.13.

The critical value of (t) at degrees of freedom 200-2 = 198 and at a significance level of (0.05) = (1.97).

To analyze the scores of the sample members and determine the relationship between the dependent variable (predicted), which is cognitive motivation, and the sum of cognitive abilities (predicted) (knowledge, comprehension, application, analysis, synthesis, and evaluation), and to determine the percentage of apparent variance in the predicted variable measured by the scale, and to show the extent to which each level (predicted) contributes to explaining the total variance in cognitive motivation, the results of the statistical analysis showed that the relationship between cognitive motivation (predicted variable) and the sum of predicted abilities was statistically significant. The multiple correlation coefficient was (0.41), and the calculated F-value for regression analysis was (16.77), which is greater than the critical F-value of (2.09) at the level of (0.05) and two degrees of freedom (6), (193). This means that each of the six cognitive abilities contributes (has an effect) on the variance of cognitive motivation (the dependent variable), as shown by the squared correlation coefficient of (0.17). This indicates that (0.17) of the explained variance in usage is attributable to the predicted variables combined. The accuracy of the prediction is reflected in the standard error of estimation in the regression equation, which is (6.653), as shown in Table (13).

Figure 4. Table (13). Results of Multiple Regression Analysis to Determine the Relationship Between Cognitive Ability Levels and Cognitive Motivation

The contribution (influence) of each predictor variable, representing the six levels of cognitive abilities, in explaining the variance of the dependent variable (cognitive motivation) is determined through the beta (B) values ​​of relative contribution, the standard error of the beta values, and the t-test of these values, as shown in Table (14). The relative contribution values ​​reflect the specific weight of the contributions of the six (predictor) cognitive abilities to the overall variance in the value of the dependent (predictor) variable, which is cognitive motivation, in standardized score forms. These scores indicate that the ability to synthesize had the highest contribution among the abilities, reaching (0.09413), which was significant at the (0.05) level. This was followed by the ability to analyze, with a contribution value of (0.06536), which was significant at the (0.05) level, and then the ability to evaluate, with a contribution value of (0.04908), which was significant at the (0.05) level. As for the comprehension, application, and knowledge abilities, the contribution values ​​were not statistically significant.

Cognitive abilities B values ​​for relative contribution standard error T value Level of significance
Calculated Tabulated
Constant regression limit 33.264 1.072 31.02 1.97 0.05
Knowledge 0.01490 0.02071 0.72 1.97 Not significant at the 0.05 level
Understanding 0.02802 0.01829 1.53 1.97 Not significant at the 0.05 level
Application 0.02506 0.02007 1.25 1.97 Not significant at the 0.05 level
Analysis 0.06536 0.02039 3.21 1.97 0.05
Synthesis 0.09413 0.02670 3.53 1.97 0.005
Evaluation 0.04908 0.02168 2.26 1.97 0.05
Table 11. Table (14). shows the relative contribution values ​​of cognitive abilities to cognitive motivation

The general indicators of the research results showed that the levels of the independent variable, represented by cognitive abilities (knowledge, comprehension, application, analysis, synthesis, and evaluation), contribute to explaining the apparent variance in cognitive motivation. The ability to synthesize was the ability that contributed most to explaining the variance of the dependent (predicted) variable, followed by analysis and then evaluation. In other words, the ability to synthesize, analyze, and evaluate is the most closely related to cognitive motivation. A student with high cognitive motivation can reach the level of synthesis, analysis, and evaluation. However, no statistically significant relationship was found between cognitive abilities (application, comprehension, and knowledge) and cognitive motivation. This result seems largely logical, as the higher the level of cognitive motivation among students, the greater their desire to acquire more information and discover more facts. This provides them with an opportunity to develop their mental processes and reach more advanced cognitive abilities. Conversely, students possessing higher-level cognitive abilities helps to increase their cognitive motivation because they have access to information resources that help them develop their higher-order cognitive skills. Thus, the relationship between cognitive motivation and cognitive abilities is reciprocal and interactive.[11]

5- Identifying statistically significant differences based on gender in the research variables (cognitive motivation and cognitive abilities).

1. Cognitive Motivation: The results of applying the cognitive motivation scale to the female and male categories indicate that the average score for this motivation among the female category was (41.72), which is higher than the average score for the male category, which was (39). When comparing these two averages with the hypothetical mean of the scale, which was (39), it was found that the average score of each was higher than the hypothetical mean of the scale, with a statistical significance in favor of the arithmetic mean. The calculated t-value (for a single sample) for the females was (31.111), which is higher than the critical value of (1.97) at the level of (0.05) and with (59) degrees of freedom. This indicates that the female sample in the current research possesses a high level of cognitive motivation. When calculating the significance of the difference between the average score of the male category on the cognitive motivation scale and their hypothetical average using a one-sample t-test, it was found that the difference was significant between the two means in favor of the achieved arithmetic mean for the male category, as the calculated t-value was (23.809), which is higher. From the tabulated value (1.97) and with statistical significance at the level of (0.05) and under a degree of freedom (139), which means that the current research sample of males also possesses a high level of cognitive motivation. To find out the significance of the difference between the averages of females and males on the cognitive motivation scale, the t-test for two independent samples was used. It appeared that the difference was statistically significant at the level of (0.05) in favor of females, as the calculated t-value reached (4.26), which is greater than the tabulated t-value of (1.97) with a degree of freedom (198). Table (15) shows this, which indicates that the level of females is higher in cognitive motivation than their male peers and with statistical significance.

Category Sample size Mean SD Df T value Level of significance
Calculated Tabulated
Females 60 41.72 6.97 198 4.26 1.97 0.05
Males 140 39 7.30
Table 12. Table (15). shows the results of the t-test for the female and male categories in cognitive motivation

The researcher attributes this result—females' superiority over males in cognitive motivation—to the nature of socialization regarding gender (gender culture), where males are generally given priority over females. Some may even view girls as less capable than boys. Such situations lead girls to want to prove others wrong and demonstrate that they are no less capable than boys through their perseverance in achieving a prestigious position. Their high motivation and attempts to compete with the opposite sex in all fields aim to prove that they are not inferior to them, but rather, on the contrary, may even surpass them.[12]

2. Cognitive Abilities: The results of administering the cognitive abilities test to both male and female participants indicate that the average cognitive abilities score for females was (36.2), which is higher than the average cognitive abilities score for males, which was (33.9). When comparing these two averages with the hypothetical test mean of (39), it became clear that the average scores for both males and females were lower than the hypothetical test mean. This indicates a lower level of cognitive abilities in these two groups. When calculating the significance of the difference between the average score of females on the cognitive abilities test and the hypothetical test mean using a one-sample t-test, a statistically significant difference was found between the two means in favor of the hypothetical test mean. The calculated t-value (3.815) was higher than the critical value (2) and statistically significant at the (0.05) level and under (59) degrees of freedom, in favor of the hypothetical test mean. This means that the difference between the achieved average and the hypothetical test mean is a real difference and not merely coincidental. To calculate the significance of the difference Between the average scores of the male category on the cognitive abilities test and the hypothetical mean of the test using the t-test for a single sample, a statistically significant difference was found between the two means in favor of the hypothetical mean of the test, as the calculated t-value (7.203) was higher than the tabulated value (1.97) with statistical significance at the level of (0.05) and under a degree of freedom of (139). These results indicate that the current research sample for both female and male categories has a low level of cognitive abilities, and Table (16) shows this.[13]

Category Sample size Mean SD Df Sample size T value Level of significance
Calculated Tabulated
Females 60 36.2 39 11.6 59 3.815 2 0.05
Males 140 33.9 11.2 139 7.203 1.97
Table 13. Table (16). shows the results of the t-test for females and males in cognitive abilities

To determine the statistical significance of the difference between the averages of females and males in the cognitive abilities test, the t-test for two independent samples was used. The difference appeared to be statistically significant at the level of (0.05) in favor of females, as the calculated t-value reached (7.27), which is greater than the critical t-value of (1.97) with a degree of freedom of (198). Table (17) shows this, which means that the female category is higher in cognitive abilities than the male category, even though both categories are characterized by a decrease in these abilities.[14] Table (17) shows this.

Category Sample size Mean SD df T value Level of significance
Calculated Tabulated
Females 60 36.2 11.6 198 2.27 1.97 0.05
Males 140 33.9 11.2
Table 14. Table (17). shows the results of the t-test for females and males in cognitive abilities

The tabulated t-value at 200-2 degrees of freedom was 198, and at a significance level of 0.05, it was 1.97.

The results showed that females outperformed males in cognitive abilities, even though the cognitive abilities of both groups were lower than the hypothetical mean. However, the degree of decline in cognitive abilities was greater among males than females.[15]

Conclusions

  1. Students at the College of Physical Education and Sports Sciences, Al-Qadisiyah University, possess a high level of motivation to acquire knowledge and a desire to obtain information.
  2. Students at the College of Physical Education and Sports Sciences suffer from a general decline in cognitive abilities, particularly in the higher-order cognitive skills of application, analysis, synthesis, and evaluation.
  3. Cognitive motivation is positively correlated with cognitive abilities, especially the higher levels.
  4. Cognitive motivation and cognitive abilities are influenced by gender, with females outperforming males in both.

Recommendations:

  1. The cognitive abilities test developed in this research can be used as a psychometric tool capable of revealing students' cognitive abilities in sports psychology. Furthermore, it can be used in formulating midterm and final exam questions due to its comprehensive coverage of all cognitive abilities.
  2. It is essential to focus on and develop students' higher-order cognitive abilities, not just comprehension and understanding.
  3. In-service training courses should be conducted for instructors to familiarize them with methods for developing higher-order cognitive abilities. These courses should also introduce them to the criteria and procedures that should be present in well-designed questions to ensure a balanced approach to developing all cognitive abilities, rather than focusing solely on lower levels.
  4. The factors influencing both cognitive motivation and cognitive abilities should be studied.

References

N. M. Al-Talib and K. T. Al-Wais, Sports Psychology. Baghdad: University of Baghdad, College of Physical Education, 1992.

I. A. Salama, Research Methods in Physical Education. Cairo: Dar Al-Maaref, 1980.

M. L. Al-Najeehi and M. M. Morsi, Educational Research: Its Principles and Methods. Cairo: Alam Al-Kutub, 1983.

M. Al-Imam, S. Al-Ajili, and A. H. Abdul Rahman, Evaluation and Measurement. Baghdad: Dar Al-Hikma, 1990.

B. Bloom, D. Krathwohl, and B. Massia, The Classification of Educational Objectives System, trans. M. M. Al-Khawaldeh. Saudi Arabia: Dar Al-Shorouk, 1985.

H. A. Al-Farmawi, “Cognitive Motivation and Its Relationship to Academic Achievement among Secondary School Students,” M.S. thesis, Faculty of Education, Ain Shams University, Cairo, 1980.

A. M. N. Mahmoud, “Measuring Cognitive Motivation among Students at the University of Mosul,” Ph.D. dissertation, Faculty of Education, University of Mosul, 2004.

F. Abu Hatab and S. A. Othman, Thinking: Psychological Studies. Cairo: Anglo-Egyptian Library, 1972.

A. M. Awad, Statistical Psychology. Beirut: University Press for Printing and Publishing, 1984.

K. T. Al-Kubaisi, “The Effect of Sample and Population Size Differences on the Discriminatory Power of Psychological Scale Items: An Experimental Study,” M.S. thesis, Faculty of Education (Ibn Rushd), University of Baghdad, 1995.

S. Faraj, Psychological Measurement. Cairo: Arab Thought House, 1980.

A. Anastasi, Psychological Testing, 4th ed. New York: Macmillan, 1967.

B. Bloom, Handbook on Formative and Summative Evaluation of Student Learning. New York: McGraw-Hill, 1971.

R. L. Ebel, Essentials of Educational Measurement. Englewood Cliffs, NJ: Prentice-Hall, 1972.

J. R. Frymier, Education and Psychology: Past, Present, and Future. Columbus, 1973.